根据审查指南的规定,如果一项申请在一个权利要求中限定多个可并列的可选择要素,则构成“马库什”权利要求。马库什权利要求是以通式化合物表示一类具有共同主体结构、不同取代基的性能或作用相同的化合物。
由于马库什权利要求中包含多个可选择要素,一旦获得授权,将获得较为宽泛、有时甚至超出其对现有技术的贡献的保护范围。这正因为这一点,使得马库什权利要求的支持性、创造性等问题在无效阶段甚至是司法审判阶段面临较大的挑战。
本文借助近期公布的2021年十大无效复审案例中的“被取代的多环性氨基甲酰基吡啶酮衍生物的前药”案,从马库什权利要求能否得到说明书支持的角度进行分析探讨,以期为马库什权利要求的撰写提供一些参考。
案例信息
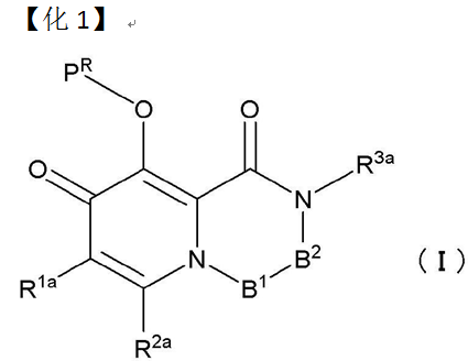
专利201180056716.8的授权文本中权利要求1中保护式(I)所示的化合物、或其制药上可接受的盐:

上式(I)中, B1为NR7a,以及B2为CR5aR6a,
R5a为氢,R6a为氢,以及低级烷基是碳原子数为1~6的直链或支链状的烷基;低级亚烷基是2价的碳原子数为1~6的直链或支链状的烷基;
R3a和R6a可与相邻的原子一起形成5~7元的杂环,
杂环为在环内具有1个以上从O、S和N中任意选择的相同或不同杂原子的5~6元的芳香族杂环、4~8元的非芳香族杂环。
另外,对PR及R7a的可选变量限定了较大的范围,同时对这些可选要素限定了进一步的二次及三级取代范围。
请求人认为在R3a和R6a不成环(以下简称二环化合物)和成环(以下简称三环化合物)时,二者在主体环结构上存在明显差异,基于此,提出权利要求1-9得不到说明书的支持的无效理由,理由主要如下:
(1)权利要求1定义的“三环化合物”中涵盖了大量结构差异巨大的化合物,说明书仅制备得到部分杂环类型,无法确信能够通过说明书给出的方法制备获得权利要求1要求保护的所有三环化合物。
(2)根据证明2及专利权的自认,可以判断本发明属于构效关系密切、可预测性低的领域,但本发明说明书中仅记载其中一个化合物的效果数据(参考例682),且证据1表明该效果数据有误。说明书中没有给出足以证明权利要求1的“三环化合物”均能实现预期效果的效果实施例。
(3)说明书记载的前药化合物实施例1-241中,所有具体前药化合物均为“二环化合物”,也即,说明书未公开任何“三环”化合物前药的实施例,基于前药化合物的制备以及前药化合物到达作用部位之后是否可以释放原药均与原药的化学结构密切相关,本领域技术人员难以确信权利要求1限定的三环化合物前药均能发挥药理作用。
合议组认定上述无效理由不成立,理由如下:
1、对于“三环化合物”的制备,本专利说明书提供了这种三环化合物的一般性合成步骤示例(说明书第1281段),并提供了6个落在权利要求1保护范围内的母体化合物的合成例,还提供了结构表征数据。这6个化合物属于不同类型的杂环。基于本专利说明书中公开的这些内容,本领域技术人员完全能够设计出三环化合物的合理制备方案,并进行结构确认。
2、针对前药的效果数据,本专利说明书首先记载了775个参考例化合物的制备和确认,并针对392个化合物在试验例1和6的体外实验中测定其帽依赖性核酸内切酶(CEN)抑制活性和CPE抑制效果。本领域技术人员能够确认,上述体外实验中,测定了母体化合物的IC50/EC50值,即能够反映前药化合物的药理活性,而无需测定前药化合物本身;事实上,在体外实验中直接以前药化合物为试验对象也是没有实际意义的,因为缺乏生物体的转化。
3、关于构效关系,本领域技术人员能够通过对这些参考例化合物的化学结构和活性进行总体分析,进而概括出其构效关系,即权利要求1中的通式所表示的二环结构是基本核结构,是所述化合物具有帽依赖性内切核酸酶抑制活性的母核,而其他位置取代基的变化基本不会对该活性是否存在产生影响。
4、关于前药化合物能否转化为母体化合物起效问题,首先,基于说明书的记载,前药化合物与母体化合物的结构差别仅在于-PR基团和-OH,式I中的“PR”基团是通过在生物体内的生理条件下由药物代谢酶、水解酶、胃酸、肠内细菌等引起的分解反应、而转换为式(II)中的-OH基,进而以母体化合物形式在体内发挥药理活性。这从请求人提供的公知常识性证据10和11以及试验例8的记载也可以得到验证。

基于上述理由,请求人主张的本专利权利要求1-9得不到说明书支持的理由不能成立。
从前述案例可以看出,马库什权利要求能否得到说明书的支持,一方面需要考虑说明书的整体内容,尤其是实施例的效果数据的记载,还要结合本领域技术人员的认知水平,考虑要求保护的技术方案能否解决发明要解决的技术问题并达到相应的技术效果。
案例启示
通过上述案例分析可以看出,对于马库什权利要求撰写时应得到说明书支持这一角度出发,思考此类专利在撰写说明书时需要注意以下几个方面:
1、应尽量记载通式中各变量的可选范围、定义,优选情形等。
2、通式化合物中存在的构效关系,包括结构共性部分/可选要素与药物活性数据之间的对应关系,可根据具体情况对含有不同共性部分或基本相同活性数据的化合物进行分组、分梯度的概括、讨论;
3、应尽量结合制备实施例的具体化合物给出主要关于制备方法、表征方法、及效果数据的一般性说明。如上案例中关于三环化合物的制备,虽然说明书中没有公开权利要求1覆盖的制备实施例,但根据说明书的一般性记载,本领域技术人员根据认知水平可以设计并合成出这些化合物。
4、对于制备实施例及效果数据,应根据通式化合物的可选要素进一步分组情况提供代表性制备实施例以及效果数据,使得本领域技术人员能够依据该代表性化合物的制备/效果的记载,能够合理预期与其结构相似的其他化合物也能实现相同或基本相当的技术效果,解决该申请声称的技术问题。
5、可以考虑在说明书中记载表格化合物的制备例,能在一定程度上对权利要求起到支持作用。题述专利在实施例667-775中记载了大量的制备例,仅提供了MS数据,而在合议组的认定中也将这些表格制备例计入了制备例统计数据中。
6、对于权利要求书应基于说明书记载的化合物合理上位,不建议写入无法得到说明书支持的结构,或者至少应在从属权利要求中去掉。另外,应根据具体化合物的共性结构/可选要素在权利要求中分梯度进行保护。
微信扫一扫
关注该公众号