专利法第二十二条第三款规定:创造性,是指与现有技术相比,该发明具有突出的实质性特点和显著的进步,该实用新型具有实质性特点和进步。 发明具有突出的实质性特点,是指对本领域的技术人员来说,发明相对于现有技术来说是非显而易见的;发明具有显著的进步,是指发明与现有技术相比能够产生有益的效果。
一般我们收到的创造性审查意见中,经常采用“常规技术手段”、“常规选择”、“常规操作”、“常规调整”、“公知常识”认定发明是显而易见的,继而认定发明不具备创造性。以上审查意见的本意都在于认定发明属于“常规技术手段的组合”,那在这种情况下如何通过有效的答复来破局,进而帮助申请人获得专利授权?
小编提供以下几种答复思路供参考。
审查指南中判断发明是否显而易见,首先要判断区别特征是否被现有技术公开。如果区别特征没有被现有技术公开,发明必然具备非显而易见性,此处不再列举案例进行赘述。
审查指南中判断发明是否显而易见,最重要的一点在于判断区别特征在现有技术中所起的作用与该区别特征在发明中所起的作用是否相同。
因此,如果可以证明区别特征在本申请与现有技术中的作用不同,则现有技术不存在解决本申请技术问题的技术启示,继而本领域技术人员不存在动机将现有技术进行结合,本申请具备创造性。
简而言之:
假设本申请和现有技术都存在特征A,本申请中特征A的作用是提高减肥效果,现有技术中特征A的作用是提高美白效果。众所周知,减肥和美白截然不同,因此,本领域技术人员不存在动机将具有美白效果的特征A用于提升减肥效果,本申请具备创造性。
以下进一步列举了具体的审查意见,其中评述了现有技术中公开的区别特征及其作用:
经分析发现,审查意见中并未对对比文件2和对比文件3中区别特征的作用进行具体描述,直接评述为“与其在本申请中作用相同”,缺乏一定的事实证据。实际上与其在本申请中作用并不相同。
以对比文件3为例,其加入稳定剂的作用为:降低活化过程中锡离子的干扰;而本申请加入稳定剂的作用为:提高产品的附着力、厚度均匀性和导电性。并未有现有技术表明锡离子的干扰与附着力、厚度均匀性和导电性的关联,因此,区别特征在本申请与现有技术中的作用不同,现有技术不存在解决本申请技术问题的技术启示,本领域技术人员不存在动机将现有技术进行结合,最终本申请获得授权。
(1)本申请与最接近的现有技术(以下简称D1)解决的技术问题不同
以下进行举例说明:
本申请解决的技术问题是提升减肥效果,D1是提升美白效果,本领域技术人员无法意识到D1具有减肥效果,更不存在动机提升其减肥效果,因此,本申请与D1发明构思不同,技术问题的提出本身就具有创造性。
(2)其他现有技术(简称D2)与D1发明构思不同,无法结合
以下进行举例说明:
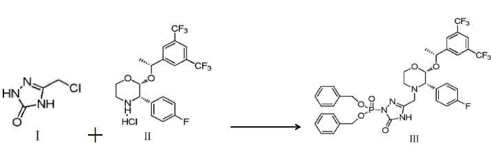
本申请的合成路线如下:
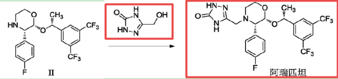
D1的合成路线如下:
由上可知,本申请与D1中的反应原料和反应产物不同(详见红框化合物)。
D2的合成路线如下:
审查意见中提到D2公开了式II化合物与氯甲基式I化合物缩合制备阿瑞匹坦的前药-福沙匹坦双酯,并公开了将原料进行磷酰化后再与式II化合物缩合制备福沙匹坦双酯。因此,D1和D2结合可以得到本申请的反应路线。
事实并非如下,具体分析如下:
1、D1和D2的反应机理不同:
D1反应机理为先脱水再加成:
D2反应机理为先磷酰化再亲核取代:
式I化合物进行膦酰化:
式II化合物上的氨基取代氯原子发生亲核取代反应制备式III化合物(福沙匹坦双苄酯):
2、D1和D2结合无法得到本申请的技术方案
如果将D1和D2结合,需要先将D1中的进行膦酰化制备得到
,但是该化合物(式I化合物)参照D1反应机理脱水,只能脱掉如下红框基团:
从而无法制备得到本申请的目标产物;同时因为化合物式I不含Cl原子,无法发生D2的亲核取代反应,故而根据上述教导,D1与D2结合不可能制备得到本申请的目标产物。
因此,D2与D1的反应机理不同,发明构思不同,即使结合也无法得到本申请的目标产物。
针对“常规技术手段的组合”可通过几下几种方式实现“破局”:
分析区别特征不同;
分析区别特征在本申请与现有技术中的作用不同;
本申请与最接近的现有技术解决的技术问题截然不同;
其他现有技术与最接近的现有技术发明构思不同,无法结合。
关注我们,获取更多知识产权最新资讯!
供稿部门:精金石\实务部
作者:郭晓英
 
                            微信扫一扫
关注该公众号